Automatic Room Heating System Using Differential Amplifiers
Abstract
Abstract
ABSTRACT
This work introduces an ”Automatic Room Heating System Using Differential Amplifiers”, which integrates differential amplification and thermal sensors for a smart and energy-saving heating solution. The system persistently tracks room temperature, employs differential amplifiers for detecting temperature variances, and modulates the heater to sustain a uniform room temperature, guaranteeing occupant comfort while reducing energy usage.
INTRODUCTION
Operational amplifiers (op-amps) are fundamental building blocks in the field of electronics, particularly in analog circuit design. They are versatile and can be configured in many different ways to perform a variety of functions. This report focuses on a specific configuration of op-amps known as the two-stage op-amp using a differential amplifier.
The two-stage op-amp is a popular configuration due to its high gain and stability. It consists of a differential input stage followed by a gain stage. The differential amplifier stage provides high input impedance, low output impedance, and a high common-mode rejection ratio (CMRR), making it ideal for a wide range of applications.
This report will cover the design and analysis of a two-stage op-amp using a differential amplifier. We will explore its working principle, circuit design, and performance characteristics. We will also discuss its applications and advantages over other op-amp configurations. This report aims to provide a comprehensive understanding of the two-stage op-amp using a differential amplifier, offering valuable insights for both beginners and experienced engineers in the field.
CHAPTER 1
Methodology
1.1 Differential Amplifier and Functioning
1.1.1 Design and analysis of a differential amplifier
A differential amplifier is a circuit that amplifies the voltage difference between two input signals while rejecting any common mode voltage (voltage that appears equally on both input signals). A traditional differential amplifier is shown in Figure 1.1. It consists of two input terminals, each connected to a separate input signal, and two output terminals. The input signals are typically connected to the gates of two transistors, while the drain of each transistor is connected to a common drain. The output voltage is then taken from the junction of the two drain resistors.

In Figure 1.1: Differential Amplifier
addition to the basic structure, some differential amplifiers may include additional components such as capacitors and feedback resistors to improve stability and reduce noise.
1 1.1.2 Functioning
The differential amplifier functions by amplifying the voltage difference between two input signals while rejecting any common-mode voltage, which is any voltage that appears equally on both input signals. The functioning of the differential amplifier can be described in the following steps:
1. Input Signals: The two input signals are applied to the gates of the two transistors in the differential amplifier circuit.
2. Differential Amplification: The differential amplifier amplifies the difference between the two input signals, while rejecting any common-mode voltage. The amplification occurs because the two transistors are connected in such a way that their drain currents are proportional to the difference between the two gate voltages. The differential amplifier amplifies this difference by a factor determined by the gain of the circuit.
3. Output Voltage: The output voltage is taken from the junction of the two source resistors, which is also the point where the two drain currents meet. The output voltage is proportional to the difference between the two input signals, and it is amplified by the gain of the circuit.
4. Common-Mode Rejection: The differential amplifier also rejects any commonmode voltage that may be present in the input signals. This is because any voltage that appears equally on both input signals will produce an equal and opposite current in the two transistors, which will cancel out at the output. Overall, the differential amplifier provides a high degree of amplification and noise rejection, making it a versatile and important component in many electronic systems. It is commonly used in applications that require high common-mode rejection, such as in instrumentation and communication systems.
1.2 Miller’s Compensator
1.2.1 What is Miller’s Compensation?
Miller compensation is a technique for stabilizing op-amps utilizing a capacitance Cƒ connected in a negative-feedback fashion across one of the internal gain stages, typically the second stage. The following figure shows a two-stage feedback voltage amplifier with voltage feedback. The capacitor CC is inserted between the first and second stages to change the poles of the open-loop amplifier. Specifically, CC moves the low-frequency pole lower in frequency, and the high-frequency pole higher in frequency (pole splitting).

Figure 1.2: Integrator
These shifts in the poles make them further apart, which has two effects: making the higher-frequency pole higher in frequency allows a faster step response while making the poles further apart reduces the ringing of the step response.
1.3 Current Mirror

Figure 1.3: Circuit of a Current Mirror
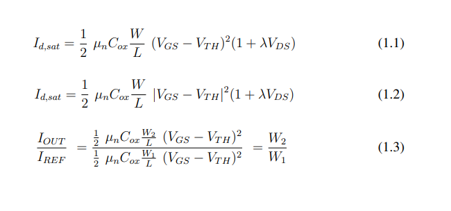
In analog IC design, current mirror structure is one of the most used concepts. It is commonly used to replicate current from one branch of the circuit to another, but it can also be used as a biasing network or as a “pseudo” current source. In the figure, M1 and M2 are MOSFETs with same area process, and VGS, IREF is the current we are trying to mirror and IOUT is the mirrored current. Since the gate of M1 and M2 are shorted, both MOSFETs experience the same overdrive voltage, VGS - VT H.
The operation of current mirrors is based on the governing equation of MOSFET current in saturation. Based on the Id,sat, one can see that the current is modeled by the square of overdrive voltage, VOV = VGS–VT H. The first-order operation of a current mirror can be realized as two MOSFET with same process and overdrive voltage, then the current flowing through the MOSFETs should be equivalent if they have the same width and length as shown in Eq. 1.4, assuming negligible channel length modulation. However, this may not always be the case in application. Some non-idealities such as process variation, VDS difference, and VT H mismatch may cause current mismatches.
2.1 Design Procedure




3.1 Circuit diagram in LTSpice

3.2 Graphs and Results


Conclusion
In conclusion, this project has provided a comprehensive exploration of the two-stage operational amplifier using a differential amplifier. We have delved into its design, operation, and performance characteristics, highlighting its high gain, stability, and versatility. The two-stage op-amp configuration proves to be a powerful tool in analog circuit design, offering high input impedance, low output impedance, and a high common-mode rejection ratio (CMRR).
These features make it ideal for a wide range of applications. Through this project, we have gained valuable insights into the workings of op-amps and their role in electronics. The knowledge and skills acquired will undoubtedly prove beneficial in future projects in the field of electronics. We hope that this report serves as a useful reference for anyone interested in learning more about operational amplifiers and their applications. As technology continues to evolve, so too will the capabilities and applications of operational amplifiers, and we look forward to exploring these advancements in future projects.
Report Information
Team Members
Team Members
Report Details
Created: March 22, 2024, 1:02 p.m.
Approved by: None
Approval date: None
Report Details
Created: March 22, 2024, 1:02 p.m.
Approved by: None
Approval date: None